了解最新公司动态及行业资讯
安 明,竺小松 (国防科技大学,安徽 合肥 230037)
摘要:应用正交频分复用调制(OFDM),基于 GNU Radio软件无线电平台开发噪声干扰系统,根据目标信号的频谱 特征,可采用 OFDM 对噪声干扰信号频谱进行灵活控制,产生具有多个不同带宽的干扰信号。同 时,基 于 GNU Radio软件平台与通用软件无线电外设,开发信号处理模块及噪声干扰系统,实现传统硬件信号处理功能,从而使得 信号产生更灵活高效,降低了系统对硬件的依赖性,有利于提高系统的适应性。
关键词:正交频分复用;软件无线电;GNU Radio;噪声干扰
0 引 言
随着电子信息技术在各个领域的广泛应用与快 速发展,电子信息领域的对抗愈加激烈,传统电子对 抗面临更多挑战。在复杂电磁环境条件下,信号频 率范围更宽,通 信 样 式 更 为 复 杂,通信手段更为灵 活[1];而传统噪声干扰主要是以单载波调制为主,例 如包括噪声调幅干扰、噪声调频干扰、噪声调相干扰 等,通常功耗大,效率低,灵活性差,频率稳定度差, 影响干扰效果。因此,具有宽带、多目标干扰的灵活 便捷干扰成为研究的热点[2]。
本文通过采用正交频分复用调制,根据目标信 号的频谱特征对干扰信号的频带进行控制,产生具 有相应功率谱的干扰信号,实现多目标干扰;同时, 基于 GNU Radio软件无线电平台开发信号处理模 块及噪声干扰系统,结合通用硬件外设,替代传统硬 件电路的信号处理部分,提高了系统的通用性和灵 活性。
1 GNU Radio软件无线电平台
软件无线电(SDR)是一种多频段 无 线 电,由 天 线、射频前端、模数/数模转换模块等构成,可以满足 多种不 同 的 空 中 接 口 和 协 议,具 有 灵 活 性 和 开 放 性[3]。软件无线电通过软件与硬件相结合的 方 式,实现根据不同用户需求、通信协议甚至某个算法来 对通用硬件平台和搭载的开源软件进行相应的编程 配置,从而实现相应的功能[4]。软件无线电提 供 了 能够满足多模式、多频段、多功能的无线通信解决方 案[5],用软件编程对通用硬件平台的可重新配置实 现传统硬件电路的功能,所以软件无线电开发不只 是电路设计,更多地是对搭载到通用硬件平台的软 件开发与设计,从而降低对硬件资源的依赖,具有灵 活性。同时,软件无线电支持模块化设计,通过对搭 载的开源软件包提供信号处理模块进行不同组合配 置,能够实现不同无线电业务需求(包括频段、调制 方式等等),具有开放性[6]。
软件无线电系统主要包括3个部分:基于天线、 收发子板等的射 频 前 端 模 块、数 模/模 数(AD/DA) 转换模块以及基于通用处理器的数字信号处理模块 (DSP),如图1所示。其中,射频前端模块主要用来 完成射频 信 号 的 接 收 与 发 送;AD/DA 转换 模 块 作 为联系模拟信号与数字信号的纽带,用来连接射频 前端模块和数 字 信 号 处 理 模 块;最 后 是 DSP 模块, 主要用于实现基带信号的调制/解调以及编码/解码 等等。

图1 GNU Radio软件无线电架构
GNU Radio是常见软件无线电平台之一,是由 麻省理工学院(MIT)开发的一个开源软件开发工具 包,能够提供丰富的信号处理模块,使用通用软件无 线电外围设 备(USRP),基于射频硬件及通用处理 器开发相应功能[7]。它既能应用于创建软件无线电 平台,也可以用于仿真环境中。GNU Radio支持多 种多样的信号处理,利用不同信号处理模块的组合 创建应用程序并通过硬件设备发送或接收数据,实 现不同的信 号 处 理 功 能。GNU Radio具有 丰 富 的 元件库,同时它也能支持这些元件相互连接,将数据 从一个模块传递到另一个模块,支持流图式设计,从 而有利于 软 件 部 分 开 发。如果需要特定功能的模 块,也支持扩展 GNU Radio元件库,创建并添加所 需功能的模块。GNURadio应用程序主要使用Python编程语言编写,一些复杂的信号处理也可以使 用 C ++语言来实现。基于以上特点,GNU Radio 软件无线电平台得到广泛应用。
2 基于 正 交 频 分 复 用(OFDM)的噪 声干扰系统
2.1 OFDM 基本原理
OFDM 是一种多载波数字调制方式,其原理如
图2所示通过串并转换将输入的串行数据流调制到
N 个并行的子载波发射,从而使子载波的符号周期
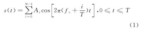
增大,有利 于 抗 多 径 延 时[8]。设 OFDM 系统 有 N
个并行的子 信 道,符 号 持 续 周 期 为 T,子信 道 的 待
传输数据为Ai(i=0,1,…,N -1),第0个子载波
频率为fc,第i个子载波频率为
,则 OFDM
符号可表示为:


通常采用离散傅里叶变换来实现 OFDM 调制, 设 Xk(k=0,2,…,N -1)表示待传输信号,经过逆 向傅里叶变换后则得到信号序列xn,其中xn 与Xk 满足:

因此,OFDM 调制可采用离散傅里叶逆变换 (IDFT)实现,将待发送数据 Xk 分别映射到对应的 子载波作为频域数 据,经 过IDFT 运算 后 即 得 到 时 域信号xn。 在应用过程中,也可以采用IFFT 运算 来实现,从而有效降低算法复杂度。
OFDM 子载波间是相互正交的,一 个 OFDM 符号的周期是每个子载波周期的整数倍,且相邻子 载波之间相差1个周期,即:

所以,在每个子载波上可以根据不同背景环境 对子信道采用相应的调制方式或控制[9]。利用这一 特点,可在侦察目标的频谱特征后,通过对干扰信号 子信道的幅度控制,产生相应频带范围和功率的干 扰信号,从而灵活控制干扰信号功率谱。
2.2 基于 GNU Radio的噪声干扰设计
噪声干扰信号产生原理如图3所示,首先根据 频谱感知侦察周围电磁环境信息,并根据侦察得到 的情报选择噪声序列,在串并转换后通过频谱干扰 控制模块设置产生对应的干扰信号频谱控制参数, 在经过快速傅里叶 逆 变 换(IFFT)模块 以 及 并 串 转 换后即得到具有特定频谱的时域干扰信号。

图3 噪声干扰系统原理
首先,进行系统控制部分设计。系统控 制 主 要 分4个部分:系统参数配置、噪声类型选择、干扰信 号配置类型、噪声序列及干扰频谱显示。首先是系 统参数配置,可设置子载波个数,选择干扰信号配置 类型以及 USRP终端射频中心频率;其次是噪声序 列类型选择,包 括 均 匀 噪 声、高斯噪声以及混沌噪 声;第三部分是干扰信号配置类型,包括音频干扰以 及部分频带干扰(多音干扰即使用单个或多个正弦 波的干扰信号,当使用单个正弦波时即为单音干扰, 相对地使用多个正弦波时则为多音干扰。在音频干 扰模式下,可根据目标信号频谱特征选择相应的一 个或多个相应的子信道映射噪声序列,从而产生相 应的干扰信号;部分频带干扰将频带划分为一个或 多个子频带,从而使得干扰能量更为集中,提高干扰 效果,在部分频带干扰模式下,可分别设置多个具有 不同带宽的干扰频带);最后是显示部分,实时显示 当前输出的时域噪声干扰信号及其频谱,从而可根 据目标信号的频谱特征对干扰信号作相应调整。
根据系统设计,在 GNURadio开发平台中开发 噪声干扰信号产生系统。系统信号处理模块的基带 信号处理在 GNU Radio软件平台完成,主要包括3 个方面,即流图、信号处理模块以及作为流图与信号 处理模块间 接 口 的 SWIG(Simplified Wrapperand InterfaceGenerator)。GNU Radio 软 件 平 台 主 要 基于 Python语言和 C++语言编程实现,其中 C++编程执行效率较高,主要用于底层的 GNU Radio 信号处理模块;Python编程更为简单且具有面向对 象的特点,用于信号处理模块相互组合连接,得到不 同基带信号处理功能的应用设计。由于信号处理模 块采用 C++语言编程,而流图采用 Python语言来 连接信号处理模块,因此需要接口(SWIG)实现 Py- thon和 C++之间的转换。GNU Radio软件平台 包含丰富的信号处理模块库,因此可以通过直接调 用这些模块并连接得到流图,最后作为应用程序运 行,实现相应的信号处理功能,这样一定程度上避免 了直接底层 C++编程细节,提高了开发效率。
基于 GNURadio平台开发混沌噪声产生模块, 并安装到 GNU Radio信号处理库。混沌现象介于 确定与随机关系之间,是客观存在的一种重要的形 式,看似没有规则的非周期的运动现象,但对初始条 件很敏感,微小的变化也会产生无法确定的结果,具 有很强的复杂性和奇异性,因而相对其他伪随机序 列得到了更多关注[10-11]。本文采用 Logistic混沌模 型产生 混 沌 序 列,其 方 程 为 xn+1 =μ·xn ·(1- xn),取初 值 x0 为 0.22,μ 取值 为 4。第 1 步,在 Linux系统 下,利 用 gr_modtoolnewmod命令 生 成 新 的 模 块 gr-mymodle,在 新 生 成 的 模 块 gr- mymodle中用gr_modtooladd-tsync-lpython命 令生成新的信号处理模块(block),-tsource选择其 类型为source,-lpython编程 语 言 为 Python,并设 置模块属性(初始值,模块名等);第2步,在新建模 块中用 Python编程,通过 Logistic混沌模型产生混 沌序列,由outputitems[0]端口输出;第3步,修改 xml文件,设置模块输出以及参量属性,执行“make install”命令安装模块。
最后,基于 GNURadio平台实现干扰系统。采 用随机序 列 模 块 Random Source及混 沌 噪 声 模 块 作 为 信 源 输 入,经 过 子 载 波 映 射 模 块 (OFDM CarrierAllocator)分配 到 各 子 载 波,并 通 过 信 道 控 制模块来控制子信道,产生不同带宽的干扰信号频 谱,然后通过快速傅里叶变换(FFT)模块进行IFFT 运算(这 里 FFT 模 块 的 Forward/Reverse设 置 为 Reverse,实现IFFT 功能),同时增加 QT 模块来显 示输入的噪声序列以及输出干扰信号的频谱,最后 通过 USRPSink模块由硬件平台进行输出,系统界 面如图4所示。

3 系统测试
将 PC 端通过网线与硬件前端 USRP连接,从而将 GNU Radio平台产生的基带噪声干扰传输到 USRP;同时将 USRP输出端与频谱分析仪连接,通 过频谱分析 仪 观 察 USRP 输 出的噪声干扰信号频 谱,如图5所示。运行噪声干扰系统顶层模块,选择 不同的频谱控制参数配置类型并观察相应的噪声干 扰信号频谱。

首先,选择噪声干扰信号配置类型为部分频带 干扰,FFT 长度为64,硬件前端 USRP中心频率为 850MHz,设置信号采样率为10 MHz,则相邻子载 波频率间隔为0.156MHz,选择2个子频带对应的 子载波编号分别为20~40,53~55,则对 应 的 频 带 宽度分别 为3.276 MHz和0.468 MHz,如图6所 示。图7为通过频谱分析仪测得的部分频带噪声干 扰信号频谱。


选择噪声干扰信号配置类型为音频干扰,FFT 长度为64,硬件前端 USRP中心频率为850 MHz, 信号采样率为10MHz,选择子载波编号分别为27, 33,40和50,则对 应 的 频 率 分 别 为849.062 MHz, 850.00MHz,851.094MHz,852.656 MHz,如图8 所示。图9为通过频谱分析仪测得的音频噪声干扰 信号频谱。


通过测试,基 于 OFDM 的 GNU Radio噪声 干 扰信号产生系统可通过配置频谱控制参数选择相应 图6 部分频带干扰 图7 部分频带干扰测试 图8 多音干扰 的子载波,实现对噪声干扰信号频谱的灵活控制,能 够产生具有不同带宽的部分频带噪声干扰信号以及 多音干扰信号。
4 结束语
本文应用 OFDM 调制方式基于 GNURadio平 台开发了噪声干扰信号产生系统,OFDM 具有频谱 控制灵活的优势,可根据目标信号的频谱特征产生具有不同带宽的干扰信号,从而实现对干扰信号功 率谱的灵活控制。最后,基于 GNURadio软件无线 电平台结合 USRP开发了噪声干扰信号产生系统, 较传统信号产生方式更为灵活高效,节省了硬件资 源,提高了系统的适应性。
参考文献
[1] 邹时禧,满欣,魏蛟龙.基 于 OFDM 的宽带混沌干扰信 号产生技术[J].海军工程大学学报,2015(1):94-97.
[2] 凌小峰,臧小 刚,宫 新 保,等.一 种 基 于 OFDM 的宽 带 有源噪声干扰方式[J].信息技术,2009,33(9):33-36.
[3] MITOLAJ.Softwareradios:survey,criticalevaluation and future directions [J].IEEE Aerospace and ElectronicSystemsMagzine,1993,8(4):25-36.
[4] 陶玉柱,胡建旺,崔佩璋.软件无线电技术综述[J].通信 技术,2011,44(1):37-39.
[5] 杨小牛,楼才义,徐建 良.软件无线电技术与应用[M]. 北京:北京理工大学出版社,2010.
[6] 李皓.基于 GNU Radio平台的通信演示系统实现[D]. 西安:西安电子科技大学,2014.
[7] 甘辉.基于 GNURadio与 USRP平台的 OFDM 系统的 研究[D].北京:北京邮电大学,2014.
[8] 周文韬.基于 GNU Radio和 USRP的认知无线 电 系 统 设计与实现[D].长沙:湖南大学,2017.
[9] 史治国,洪少华,陈 抗 生.基 于 XilinxFPGA 的 OFDM 通信系统基带设计[M].杭州:浙江大学出版社,2009.
[10]史婕,吴坚,朱卉乔.混沌时间序列及 MATLAB仿真实 现[J].滁州学院学报,2011,13(5):18-21.
[11]王喜风,王可人,冯辉,等.混沌噪声产生器及其 FPGA 实现[J].电讯技术,2011,51(4):26-30.